HÜKÜMET ONLİNE CASİNOYU AÇTI
Bakanlar Kurulu, Spor Yasasını kullanarak yasağı kaldırdı: UBP-DP-YDP Hükümeti, sessiz sedasız “Müşterek Bahis” kararıyla Şans Oyunları Yasası’nı dolanarak online casino oyunlarına izin veren yeni bir düzenleme yaptı.
HÜKÜMET ONLİNE CASİNOYU AÇTI
Bakanlar Kurulu, Spor Yasasını kullanarak yasağı kaldırdı: UBP-DP-YDP Hükümeti, sessiz sedasız “Müşterek Bahis” kararıyla Şans Oyunları Yasası’nı dolanarak online casino oyunlarına izin veren yeni bir düzenleme yaptı.
Bugün Kıbrıs/Ayşemden Akın
YASAYI DELEN KARAR
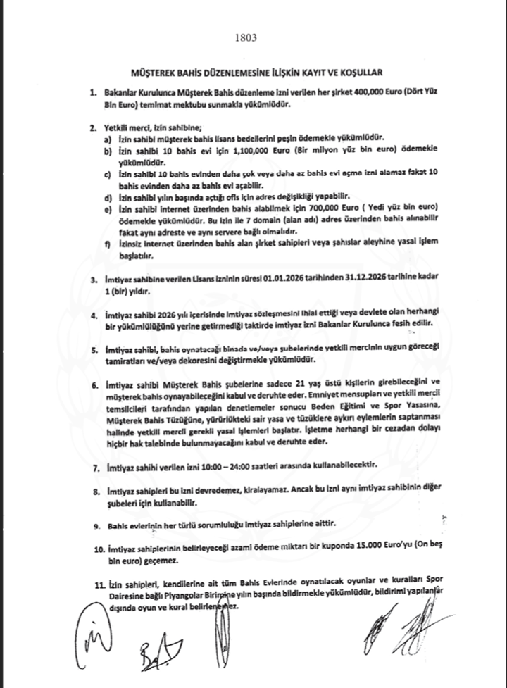
Bakanlar Kurulu’nun “Müşterek Bahis Düzenlemesine İlişkin Kayıt ve Koşullar” başlıklı kararı, KKTC’de online casino alanında köklü ve tartışmalı bir dönüşüm yarattı. Hükümet yasa değişikliğini Beden Eğitimi ve Spor Yasası üzerinden devreye sokarak, Şans Oyunları Yasası’ndaki açık yasağı idari bir kararla delmiş oldu.
700 BİN EURO’LUK İZİN
Şans Oyunları Yasası’na aykırı biçimde alınan karar, bahis şirketlerine 700 bin Euro karşılığında internet üzerinden casino oyunu oynatma imkanı tanıyor. Belgedeki 13. madde, casinodaki oyunların yasak olduğunu belirtirken aynı yasağı internet siteleri için istisna tutuyor. Yani bu, bahis evlerinde yasak olan casino oyunlarının online platformlarda serbest olduğu anlamına geliyor.
MASAK’IN ENGELLEDİĞİ TRAFİK
MASAK’ın daha önce müdahale ettiği sanal casino trafiği, bu düzenlemeyle resmi izinli bir yapıya dönüşüyor. Hukuk çevreleri kararı “yetki aşımı ve normlar hiyerarşisine açık aykırılık” olarak nitelendiriyor. Kulisler, kararın “pazarın yeniden dizaynı” ve “büyük operatörlerin önünü açma” amacı taşıdığını konuşuyor.
Ayşemden Akın’ın haberi
3 Aralık Resmi Gazete’de yayımlanan Bakanlar Kurulu kararı şöyle:














